728x90
반응형
<기말고사 문제 유형 요약>
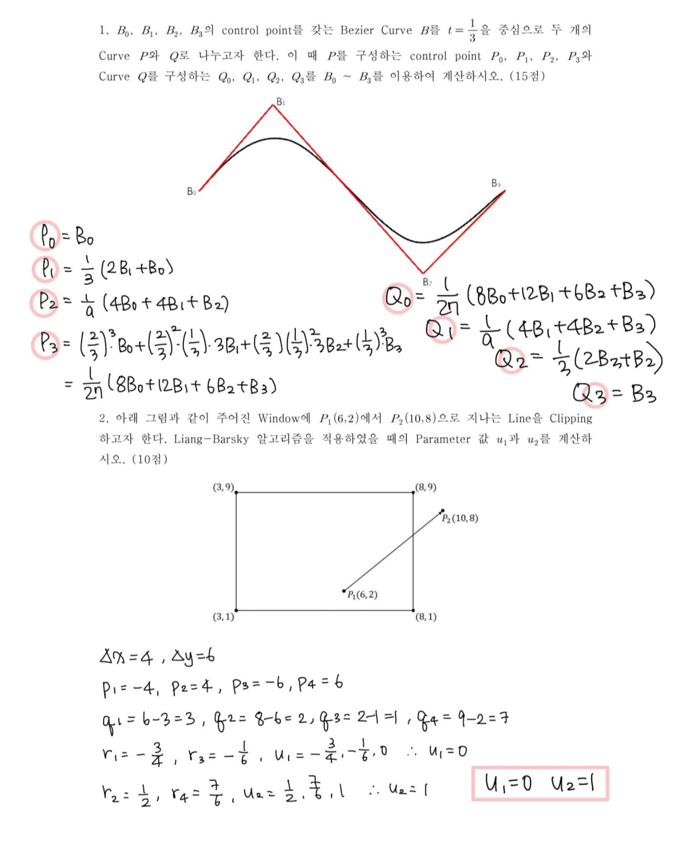
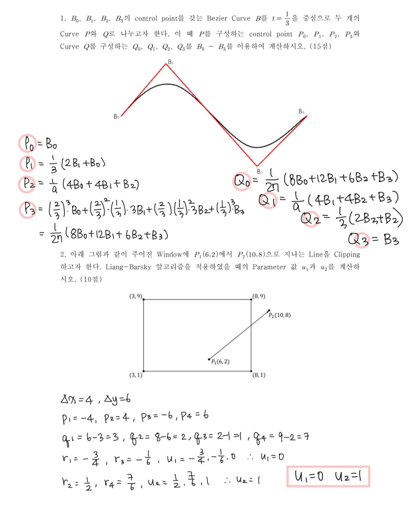
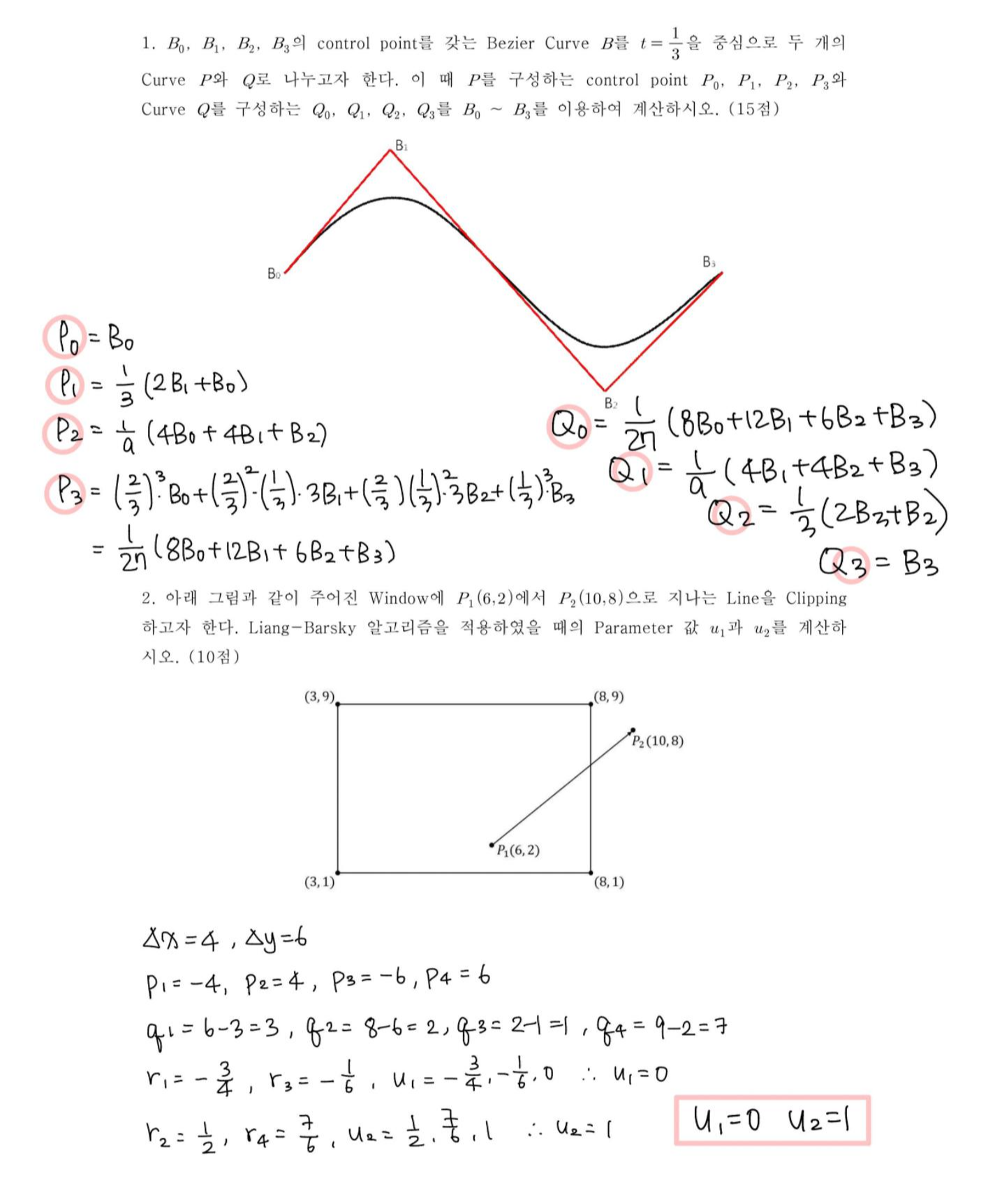
- 1 : Control Point로 Bezier Curve 구성 계산하기
- 2 : Liang-Barsky 알고리즘으로 Line Clipping 파라미터 값 계산
- 3 : 3차 Bezier Curve
- 4 : 3차 Bezier Curve
- 5 : Homogeneous Coordinate의 개념과 사용 이유
- 6 : Ray-Tracing 알고리즘 시선 방정식
- 7 : Open Uniform B-spline Curve와 Bezier Curve
- 8 : 터틀 그래픽과 symbol



728x90
반응형
'College Computer Science > Computer Graphics' 카테고리의 다른 글
| [Graphics] 컴퓨터 그래픽스 공부과정, 그리고 알게 된 것 (1) | 2022.08.29 |
|---|---|
| [컴퓨터그래픽스] 중간고사 대체 레포트 (0) | 2021.04.03 |
| [컴퓨터그래픽스] 키보드 마우스 입력을 통한 화면 변경 (0) | 2021.04.03 |
| [컴퓨터그래픽스] openGL 사용하지 않고 culling 수행하기 (0) | 2021.04.03 |
| [컴퓨터그래픽스] gluLookat 변경을 통한 애니메이션 만들기 (0) | 2021.04.03 |
댓글